Watch the Live Launch Event
Update (1344ET):
Highlights of the launch event so far (courtesy of Bloomberg Top Live Blogs):
-
iPhone 16 has a familiar design, leans on Camera Control and new AI features to stand out from previous model (iPhone 16 starting price $799, iPhone 16 Plus starting price $899)
-
Apple Intelligence will become available to some users in October
-
New Apple Watch is thinner with a brighter screen, faster charging, sleep apnea detection and a high-end titanium option
-
Company unveils the AirPods 4 and AirPods Max, touting improved audio quality
-
New watches and AirPods will be available Sept. 20
Whoops.
AAPL turns red on iPhone 16 intro
— zerohedge (@zerohedge)
AAPL approaching LOD as iPhone 16 unveil so far a dud https://t.co/GJZFT1Gvfb
— zerohedge (@zerohedge)
Bloomberg Intel's Anurag Rana: "iPhone 16 design changes do not appear that compelling to warrant a big refresh cycle, especially as the Apple Intelligence features will be released on a staggered basis in 2025. Nevertheless, we still anticipate a 5% jump in unit shipments for FY25, compared with FY24."
* * *
"It's Glowtime," guys...
Apple Park is glowing! #AppleEvent pic.twitter.com/gVgtMbZhaM
— Tim Cook (@tim_cook)
* * *
Apple will host a launch event, "It's Glowtime," at 10 am PT / 1 pm ET.
The world's most valuable company, led by Tim Cook, is expected to debut new devices, including iPhone 16 models, smartwatches, and headphones, and reveal even more details about artificial intelligence software upgrades available on the latest devices.
Goldman analysts, led by Michael Ng and Katherine Campagna, told clients what to anticipate before the major launch event. They begin by highlighting the key expected announcements for the iPhone 16:
iPhone 16: Size increases on Pro/Pro Max, WiFi 7 functionality, additional hardware & software initiatives, potential price increases on Pro/Pro Max
AAPL likely will announce the launch of 4 new iPhone 16 models: (1) iPhone 16 (6.1"); (2) iPhone 16 Plus (6.7"); (3) iPhone 16 Pro (6.3" v. 6.1" for iPhone 15 Pro); and (4) iPhone 16 Pro Max (6.9" v. 6.7" for iPhone 15 Pro Max). Given historical patterns of releasing new models the Friday of the week following an iPhone launch announcement, we expect the iPhone 16 series to become available on Friday, September 20th with preorders starting on Friday, September 13.
Press reports regarding price increases are mixed, with Techradar expecting prices to increase +$100 across all four models, with the base and Plus starting at $899 (v. $799 prior) and $999 (v. $899 prior), and Pro and Pro Max models at $1,099 (v. $999 prior) and $1,299 (v. $1,199 prior), respectively, while Forbes expects prices to remain unchanged from the iPhone 15 family of phones. However, similar to its 2023 price increase on the base model of the iPhone 15 Pro Max, where it raised entry prices by $100 ($1,099 to $1,199) by eliminating the 128 GB storage option, AAPL could possibly raise entry prices on the iPhone 16/Plus/Pro models by eliminating the 128 GB entry-level storage option. We note that the iPhone Pro has not seen a price increase since it was first introduced with the iPhone 11 Pro in September 2019. In our view, AAPL's investments in iPhone hardware and across the Apple ecosystem (e.g., software, services) in recent years have provided consumers with additional value and should help warrant the price increases.
Modest form factor changes are expected, per Bloomberg. Press expectations for hardware updates include (1) display size increases for the iPhone Pro (6.3" v. 6.1" 15 Pro) and Pro Max (6.9" v. 6.7" 15 Pro Max); (2) the introduction of A18 chip series made with 3nm process which improves speed and power efficiency (3-nm chips previously only featured within the iPhone 15 Pro and Pro Max with A17 Pro chips); (3) the expansion of the Action button to all iPhone 16 models (v. 15 Pro/Pro Max only prior); and (4) improved camera features, with vertical lenses on 16/16 Plus models and a "Capture" button.
iPhone 16 to launch with iOS 18, which as outlined in our 2024 WWDC review, has updates centered around (1) personalization (e.g., rearrange apps/widgets on Homescreen; text effects and formatting in iMessages; Control Center customization options; Genmojis; customized fitness goals on watchOS; Smart Stack widget notifications on watch OS); (2) privacy (e.g., lock/hide apps; limited contact sharing; Passwords app); and (3) productivity (e.g. new Calculator app on iPad; iPhone Mirroring on macOS). Industry reports believe AI features likely will be a few weeks delayed from the iPhone 16's launch and will launch as part of the iOS 18.1 update rather than the iOS 18 launch. iOS 18.1 will likely feature various AI functions previously announced as part of Apple Intelligence at WWDC in June 2024 including (1) improved Siri functionalities with contextual understanding, ability to interact via text, and a "glowing" appearance; (2) generative writing features including Writing Tools and Smart Replies; and (3) Photo innovations including improved Photo Library search functionality and the "Clean Up" editing feature.
A summary of those key expected iPhone 16 changes:
Pricing expectations for the iPhone 16 models:
The analysts pointed out that new iPhone debuts have not historically been a catalyst for outperformance or underperformance in the stock.
They expect better carrier promotions for iPhone 16 could drive outperformance in sales.
"Although we forecast iPhone revenue to decline 1% yoy in F2024, iPhone revenue should grow 9% yoy in F2025 and F2026," they said.
In a separate note last month, Wedbush analyst Dan Ives said the AI-enabled iPhone 16 will unleash Apple's biggest upgrade cycle in history.
"AI is on the doorstep," Ives said, adding, "Our recent Asia checks are giving us more confidence this upgrade cycle will unleash a long-awaited renaissance of growth for Cupertino over the next year."
Ives said the next phase of the consumer AI revolution will involve developers and other tech firms integrating their AI models/tech into Apple Intelligence.
"We expect developers over the next 6 to 12 months will build hundreds of generative AI-driven apps that will be key ingredients in the recipe for success for Apple as its technology stack creates the core building blocks of the consumer AI tidal wave we see coming starting with iPhone 16," he added.
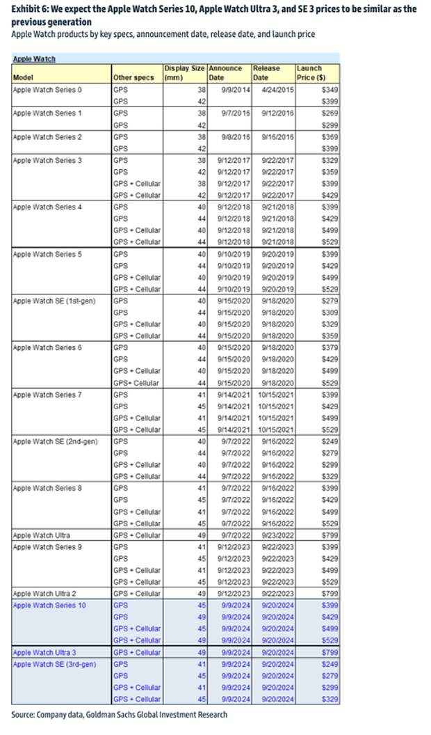
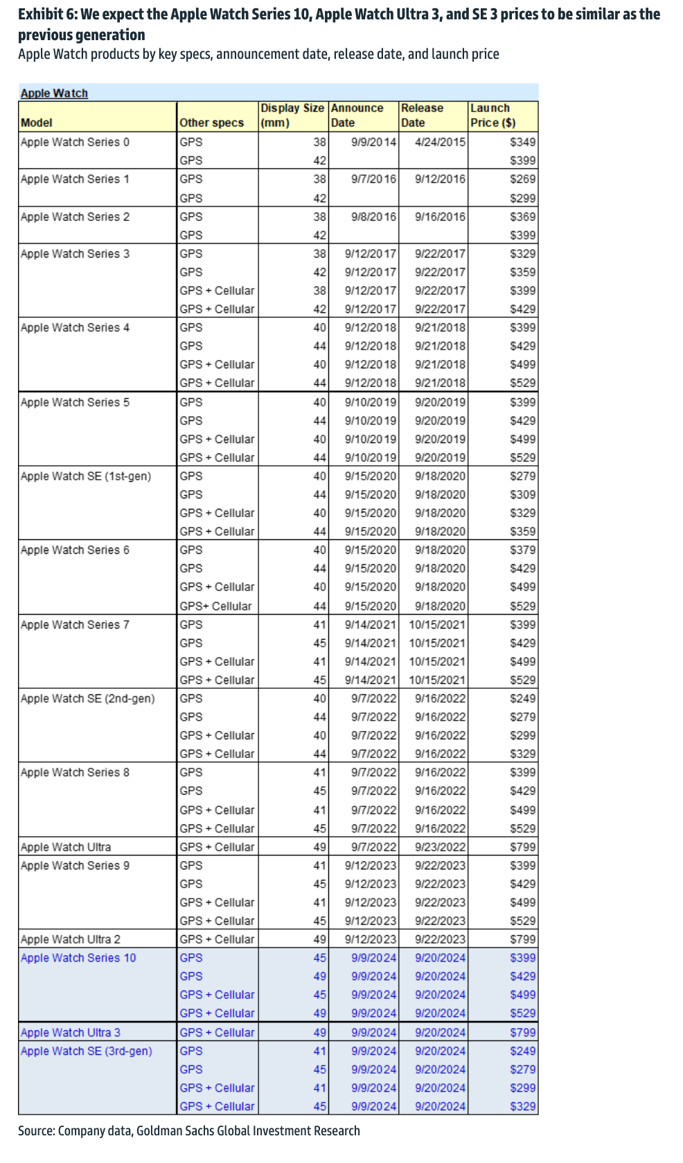
Here's what Goldman expects for new Apple Watches...
And AirPods:
We expect AAPL to announce the 4th generation of AirPods. According to press reports, the 4th generation of AirPods will reportedly feature two models, with the higher priced model having Noise Cancellation functionality as well as a speaker in the case for location tracking. 4th Gen Airpods are expected to have USB-C charging ports.
Their thought on potential announcements for new iPad and iPad Mini:
Several press reports expect the potential announcements of a new iPad and iPad Mini, rounding out the remaining iPad updates this year following the previously announced updates to the iPad Air and iPad Pro in May 2024. That said, the next iPad Mini will reportedly feature an OLED display, which could push the launch of the next-gen iPad Mini to 2026. Accordingly, we view the likelihood of new iPad announcements at this event - particularly that of the iPad Mini - as low. The last update to the iPad and iPad Mini were in October 2022 and September 2021, respectively.
Goldman analysts have a 'Buy' rating on Apple and a 12-month target price of $276 ($275 prior), reflecting 33X (unchanged) from their NTM+1Y EPS.
As of Monday morning, there is a 26% upside to Goldman's $276 PT.









Свежие комментарии